LNG 被公認是地球上最干凈的化石能源,但是基于我國富煤、貧油、少氣的能源結構,最近我國大量進口LNG。LNG 在氣化的同時,可以利用其冷源,通過卡諾循環進行發電。該工藝涉及到海水換熱器,為了保證發電平穩,需要采用鈦換熱管。
鈦換熱器因金屬離子不易流失,所以可充分利用這種非磁性特點,用做制藥及食品等用途的換熱器。由于鈦的抗腐蝕能力強,所以換熱器的使用壽命長,并且在使用中維護費用也低。此外,因其具有體積小、換熱能力大等優點,相關設備(如泵)的投資及運行費用也能相應減少 [1]。
鈦管換熱管的價格為127 元/kg,S30408 換熱管的價格為17.2 元/kg ,價格昂貴,因此在進行鈦管換熱器設計的過程中,在滿足工藝參數的前提下,盡量減少鈦管的重量,從而提高經濟性 [2]。
筆者在設計鈦管換熱器的過程中,需要考慮到,如何減少工程總造價,主要包括設備固定投資和運行費用。基于此,筆者在保證傳熱要求的前提下,系統分析了不同換熱管規格對總費用的影響。
1、設計參數
LNG 發電項目由煙臺某電力公司總包,我公司負責熱工計算,要求換熱余量至少10%。其主要設計參數如表1 所示。

2、換熱器工藝計算
2.1 換熱器管殼程流體分配根據工程經驗,凡是接觸海水介質的材料需要采用Ti 材,如果將海水安排在殼程,換熱管、殼程材料和管板均需要采用昂貴的鈦材,所以將海水安排 在管程。
2.2 換熱器型式的確定
管殼式換熱器總的傳熱熱阻 [3] 是由熱流體與管壁的對流傳熱熱阻、管壁和污垢的導熱熱阻,以及管壁與冷流體的對流傳熱阻串聯構成。 海水汽化器的總傳熱熱阻:

由于管殼側介質的對流傳熱系數比較高,海水側污垢熱阻對總體熱阻的貢獻值很大,基于此,設計過程考慮減少污垢熱阻的措施。
目前管式換熱器(例如凝汽器、空氣冷卻器、冷油器等)內部換熱管道內壁結垢后一般采用化學清洗和物理清洗(高壓水射流清洗),這兩種清洗方法都是在管道內壁結垢后才能進行清洗,且沒有預防管道內壁結垢的功能。
清洗時需設備停運后才能進行清洗除垢等操作,清洗除垢過程時間長且對設備損傷較大、安全風險高、費用較高、勞動強度大等缺點非常明顯。
選用膠球在線清洗裝置,可以在不停工的前提下,進行在線清洗,可以保證換熱器在高傳熱系數下運行。經過與在線清洗廠家咨詢,一臺在線清洗裝置需要10 萬元,管內污垢熱阻可以從原來的0.000 352 m2 · k/W 降低至0.000 088 m2 · k/W。表2為采取這兩種不同污垢熱阻的設計結果。

從表2 可以看出,采用膠球在線清洗裝置可以節省換熱器管束費用308.8 - 242.1 = 66.7 萬。綜合考慮在線清洗裝置投資10 萬元,可以節省費用56.7 萬元,所以采用在線清洗裝置。
這種在線清洗裝置,需要單管程的結構。考慮到固定管板結構,冷熱流體傳熱接近逆流,且管殼程壁溫不大,不需要設置膨脹節,所以確定換熱器型式為單管程BEM 結構。

2.3 換熱管規格的確定
基于2.1 和2.2 的分析, 確定采用BEM 固定管板換熱器, 將海水放在管程。采用φ25×1.5、φ19 mm×1.5 mm、φ14 mm×1.5 mm、φ12 mm×1.5 mm 四種不同換熱管規格,分別進行工藝計算。
2.3.1 設備固定投資費用
在保證換熱性能的前提下,分別應用HTRI 8.1進行傳熱計算,得到換熱器規格,由于鈦管價格昂貴,設備固定投資近似等于換熱管費用,將結果列于表3。
根據雷諾數判斷,這四種規格換熱管的管內海水處于湍流狀態,無相變的流體在管內作湍流流動時,可用下式計算αi

從上式可以看出,隨著管內徑的減小,總傳熱系數不斷增大,將計算結果繪制于圖2 ~ 3。


根據Q = KAΔTm,式中Q [3] 為換熱量,K 為總傳熱系數,已經獲得,關鍵是對ΔTm 的獲得,由于殼程流體發生相變,不能采用對數傳熱溫差公式計算,只能采取分段計算方法,分別計算殼程氣化區和過熱區。在氣化區和過熱區可以分別采用對數傳熱溫差計算平均溫差。根據上述公式,得到換熱面積。


從表3 和圖4 ~ 5 可以看出,隨著管外徑的減小,管束質量逐漸降低,設備固定投資也逐漸降低,似乎應該選擇φ10 mm×1.5 mm 的小規格管子。但設計換熱器不僅僅要考慮固定費用,還需要考慮設備全周期的費用,因此必須要考慮運行費用。
2.3.2 設備運行費用
取設備壽命為20 年,查得當地工業用電單價為0.85 元/ kw · h,海水的體積流量為0.3 m3/ s,管程壓降分別按照水力計算獲得,水泵軸功率W=ΔP×Q,式中W 代表軸功率,ΔP 代表壓降,Q 代表體積流量,運行費用 P = i×c,式中P 代表運行費用,i 代表耗電量,c 代表用電單價,如表4 所示。




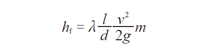
從表6 中可以看出,隨著管徑的減小,管內徑的壓降逐漸增加。管內壓降的影響因素包括流速、流體物性、換熱管長度 [5-6],具體公式為:

2.3.3 設備全生命周期費用
從圖7 ~ 8 和表5 可以看出,隨著管外徑的增加,水泵運行費用不斷減少,設備固定投資不斷增加,無法判斷最優管規格,基于此,以總投資費用為縱坐標,作圖如圖9 所示。
從圖9中可以看出,當換熱管外徑為19 mm時,總費用最低,因此最優換熱管規格為φ19 mm× 1.5 mm。


3、結論
綜上所述,接觸海水介質的流體放在管程,可以避免殼程使用價格昂貴的鈦材,可以節省設備投資。
由于管殼側介質的對流傳熱系數比較高,海水側污垢熱阻對總體熱阻的貢獻值很大,綜合考慮清洗裝置投資,使用在線清洗裝置。
隨著管內徑的減少,總傳熱系數不斷增大,管束重量逐漸降低,因此,小換熱管需要較小的固定投資。
隨著管徑的減小,管內徑的壓降逐漸增加,水泵的運行費用逐漸增加,因此,小換熱管需要較大的運行費用。
作為制造廠,在換熱器工藝計算的過程中,不能只考慮設備的制造成本,還需要考慮換熱器全生命周期的費用,以總費用為最優目標,得到最優換熱管規格為φ19 mm×1.5 mm。
參考文獻
[1]張文毓. 鈦換熱器市場發展分析研究[J]. 船舶物資與市場, [1] 2011(2):31-34.
[2]蔣連勝. 淺析換熱器制造與成本[J]. 廣州化工, 2015(12):[2] 162-163.
[3]W. M. 羅森諾. 傳熱應用手冊[M]. 北京:科學出版社, 1992.[3]
[4]E. U. 施林德爾. 換熱器設計手冊[M]. 北京:機械工業出版[4] 社, 1988.
[5]密曉光, 陳杰, 鹿來運, 等. 繞管式換熱器層間質量遷移特[5] 性的試驗研究[J]. 液體機械, 2020, 48 (3):1-5.
[6]董哲生. 流體在工業管道中流動沿程阻力計算的研究[J]. 江[6] 西能源, 2006, 23 (3):26-27, 23.
無相關信息bjlkty.com
立坤鈦業手機網